![[wedges]](sm_nature_fig1.gif)
Figure: 1 Schematic of avalanche mixing. For slow rotation speed, W, distinct
avalanches occur which take material from an uphill wedge to a
downhill wedge, as indicated by the solid arrow. Mixing within the
wedges is taken to obey a deterministic map; mixing between wedges occurs in
quadrilateral wedge intersections.
[BACK]
![[disk comparisons]](sm_nature_fig2.gif)
Figure: 2 Mixing patterns from simulation (left) and experiment (right) after two disk
revolutions at the indicated fill levels. To initialize an experiment, we lay
a divider along the disk diameter and pour equal amounts of red (blue) salt
into the right (left) side. We then remove the divider, seal the top, and set
the disk on edge. For low fill levels, note the similar interpenetration of
colors across the disk and the equivalent degree of mixedness. For high fill
levels, an unmixed core appears with reduced mixing rates outside the core.
[BACK]
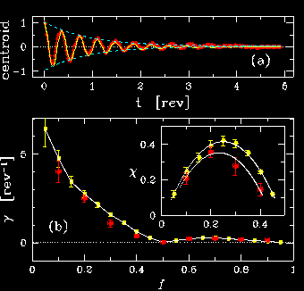
![[rates]](sm_nature_fig3.gif)
Figure: 3 (a) Centroid position projected onto the material's centerline for an
experiment at f = 0.30. The centroids' positions are taken relative to that of
the whole material and normalized to one initially. When the material is
perfectly mixed, the color centroids coincide with each other at the origin.
The centroids are measured through digital pictures taken as the disk rotates.
The same algorithm computes experimental and simulated centroid positions. Dots
are experimental data; solid lines are a fit to exp(-gt)cos(2pit/T) with g = 1.1
+/- 0.2, T = 0.37 +/- 0.02, both in units of revolutions. The exponential
envelopes are emphasized by dashed lines. (b) The mixing rate g versus fill
level f. Open symbols are obtained from fits to simulated data from the
model; filled symbols are experiments. For f > 1/2 the core is removed from
the calculation of g. The inset shows gamma the volume mixed per
characteristic time versus f. The experimental (calculated) optimum is f =
0.23
(f = 0.25).
[BACK]
![[square comparisons]](sm_nature_fig4.gif)
Figure: 4 Granular mixing in a square after 1-1/4 revolutions. Simulation on top;
experiment on bottom. The experiments are initialized as in Fig. 1; here the
salt is dyed red and yellow. The simulation here includes a thin layer of
thickness e = 10 grains outside of the core to account for the boundary
mentioned earlier.
[BACK]